Views: 20 Author: Site Editor Publish Time: 2023-04-11 Origin: Site
●Determine the axial load
Lead screws are commonly used in linear actuators and positioning devices to provide thrust(axial)force to drive the load.The axial force that the lead screw assembly can withstand depends on the diameter and lead of the lead screw and the material of the nut(plastic or bronze).Plastic lead screw nuts are generally self-lubricating and less sensitive to chemicals and other contaminants,but their load capacity is significantly lower than the bronze version.If the application requires very high axial loads(thrust),a lead screw assembly with bronze nuts may be required.

The maximum axial load applied must also be checked in terms of the load that the lead screw shaft can support(often referred to as buckling strength or column strength).In horizontal applications,the load is supported by low friction linear guides,and the weight of the moving load is only a small fraction of the axial load on the lead screw.But in vertical applications,where gravity makes the lead screw shaft see the full force of the load,buckling may become an important factor in lead screw selection.

Fb = maximum compressive(buckling) load(N)
fb = factor based on end support bearings
dr = root diameter of screw(mm)
Lc = unsupported length of screw(mm)
●Check the critical speed
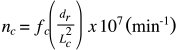
The lead screw has an inherent maximum speed,called the critical speed.The critical speed is based on the natural frequency of the screw,which,if exceeded,will cause severe vibration and damage to the lead screw assembly.

The critical speed of a lead screw shaft is determined by its length,diameter and end fixation.Although the length of a lead screw is usually set by application requirements,it is possible to increase the critical speed of a given screw length by choosing a larger diameter screw or using a more rigid end bearing configuration.

nc = critical speed(rpm)
fc = factor based on end support bearings
dr = root diameter of screw(mm)
Lc = unsupported length of screw (mm)
●Calculate the PV value
The lead screw assembly is the driving version of the plain bearing guide rail,and the heat generated by sliding friction is the key factor in its operation.For a lead screw assembly with a plastic nut,in addition to checking the axial load and critical velocity,the applied pressure-velocity(PV)value needs to be compared to the PV rating of the nut.Excessive heat generation can lead to premature wear and failure if the PV rating is exceeded.
In the PV equation,the pressure is equal to the axial load on the nut divided by the contact area between the nut and screw.Speed is the relative speed between the nut and the screw,and it depends on the lead screw length(making it slightly different from the linear speed based on the screw lead).High loads(resulting in greater pressure)can limit the allowable speed(speed)of the screw,while high speeds can limit the usable load capacity of the lead screw.
P = pressure between screw and nut (MPa)
FA = axial load on nut (N)
A = area of contact (m2)
V= linear velocity between screw and nut(m/s)
lhr = helix length per screw revolution(m)
rpm = required rotational speed of screw
●Consider back driving
Although the rear drive is only suitable for vertical applications,it is sometimes the key factor in deciding whether to use a lead screw or a ball screw.This is because the lead screw is relatively inefficient compared to the ball screw,making the load more difficult to reverse drive.

This inherent inefficiency helps prevent the load from dropping and "crashing" when the motor is powered off.While anti-reverse drive of the lead screw should not be relied upon as the sole safety measure,the use of hard-to-rear-drive lead screws provides a guarantee that appropriate safety mechanisms,such as failsafe brakes,can be complemented.
Tb = back driving torque (Nm)
F = axial load (N)
P = screw lead (m)
η2 = reverse efficiency*
*Efficiency when back driving is typically less than the efficiency for normal operation.Be sure to check the manufacturer’s specification for back driving efficiency.
Click to select ALM high quality lead screws for your application:
Professional manufacturer for complete selection of lead screws - ALM (autolinearmotion.com)