Views: 34 Author: Site Editor Publish Time: 2022-10-14 Origin: Site
When a linear motion application requires high thrust force and rigidity combined with good positioning accuracy,a preload ball screw assembly is often the best choice.Manufacturers offer ball screw preload amounts ranging from just 1 or 2 percent for applications where backlash would be detrimental,up to 10 percent or greater for applications that require very high stiffness.While preloading is beneficial for some applications,it creates additional loads that must be considered when sizing screw assemblies,motors,and other related components.
Methods to realize the preload of ball screw
There are several ways to preload a ball screw,but the three most common are using extra-large ball bearings in the ball nuts,ball nuts with adjustable diameters,or a double nut system.Creating a preload by using oversized balls allows the manufacturer to set the preload to the exact amount,although this technique is usually used for preload of 5% or less.However,this is the most common method of preloading,as it can be used with a variety of nut styles and is relatively inexpensive.

Axial play or backlash is caused by the clearance between the ball bearings and the raceway.Using oversized ball bearings in the ball nuts can reduce or eliminate the clearance.
Adjustable-diameter ball nuts allow the user to increase or reduce the preload manually,via an adjustment screw that changes the inner diameter of the nut.This method is the preferred option when the required preload may change over the life of the screw assembly – for example,to compensate for increased wear or clearance in other machine components.Although it doesn’t facilitate setting the preload to a specific level,the benefit of the adjustable nut is that if a ball nut needs to be replaced or interchanged(on the same screw),the preload of the new ball nut can easily be set to the required level.

One way to generate a preload in the ball screw assembly is to use double ball nuts with spacers or springs between the two nuts.
The dual ball nut design generates preload in one of two ways:by tension between two single nuts,or by offset in the lead of a single nut.The first method uses a spring or gasket to create tension between two mechanically coupled nuts.In the second method,when machining the ball nut raceway,an offset is generated in the lead,about half the length of the nut body.This lead offset creates a preload in the spherical nut.Because no gaskets or springs are required,the lead offset method is more compact than the two-nut design,but it reduces load capacity.Due to the higher complexity and cost,a double nut design is commonly used when high preloading(7% or more)is required.
Ball screw preload reduces axial play and improves rigidity
In many applications,the primary reason for using preload ball screws is to reduce the internal clearance between the nut and the screw raceway,resulting in axial clearance(background).Reducing or eliminating turn gaps improves screw assembly repeatability because there is no"loss of motion"when the direction of travel is reversed.(Please note that preload does not affect lead error or positioning accuracy)

Preload reduces or eliminates axial clearance(clearance)between the nut and screw shaft,resulting in improved repeatability and rigidity.
Higher preload are also associated with higher nut stiffness,resulting in increased rigidity throughout the screw assembly.However,because the ball nut is only one component of the ball screw assembly and has relatively high rigidity compared to other components,increasing the preload(for example,from 3% to 5%)has minimal impact on the stiffness of the assembly.The stiffness of the ball screw assembly is increased most obviously by replacing the non-preload spherical nut with a preload type.

Spherical nut rigidity(RN)is an integral part of the total stiffness of the screw assembly,along with the lead screw shaft,end bearings,and bearing housing.
Preload also increases motor drive torque and shortens service life
Another effect of ball screw preload is that it induces an internal load on the ball nut,which needs to be considered during sizing to ensure the motor can produce sufficient torque for the application.Preload is specified as a percentage of the ball nut’s dynamic load capacity,so in order to determine the internal load due to preload,the preload amount(0.02 for 2 percent,or 0.07 for 7 percent,for example)is multiplied by the dynamic load capacity.
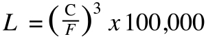
The load due to preload must also be accounted for in the applied load(F)component of the bearing life equation,as shown below.Because of the cubic nature of the equation,even a small internal load due to preload can have a significant negative effect on the life of the ball screw.(Note: When the external load meets or exceeds 2.8 times the internal load due to preload,it counteracts the internal load,and the internal load can be disregarded.)

When calculating the applied force(F)of the bearing life equation,the internal load on the ball nut due to the preload should be considered.
Click to select ALM high quality ball screw for your application:
https://www.autolinearmotion.com/ball-screws.html