| Availability: | |
|---|---|
| Quantity: | |
Tr28x8
ALM
8483900090
Diameter 28mm Lead 8mm Tr28x8 Trapezoidal Lead Screw.The pitch of the Trapezoidal Lead Screw is 8mm.The lead screw is based on the sliding contact between the nut and the screw,which makes them less efficient than the ball screw.But in vertical applications,this inefficiency has an advantage:it prevents the load from driving backwards when the motor is powered off.This ability to maintain a vertical load without reverse driving is important in applications where the load needs to wait for the top of its stroke while other processes(such as pallet stacking and parts sorting)are performed.In order to use ball screws in these applications,a brake or hold device is required,and a lead screw can usually(depending on its efficiency)hold a vertical load without the use of a brake.
| Screw Material | ASTM1045,SUS303,SUS304,SS316,SS316L |
| Nut material | Brass,Tin bronze,Phosphor bronze,Aluminum bronze,POM,PEK,nylon,POK,Stainless steel,1045,Zinc alloy,Brass+Plastic,Aluminum alloy+Plastic,Brass+Steel,Self lubricating(No oil type) |
| Quality standard | ISO2901-4,DIN103 |
| Clearance | 7e,higher precision is available upon request |
| Product Parameter |
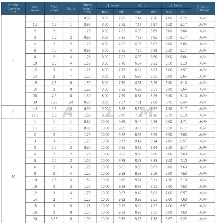
A broad range of lead nuts are available,other nut type or size can be made upon drawing
When selecting the right nut for an application,there are a few things to keep in mind.Bronze nuts provide superior service at high working loads.They should be well lubricated with a good quality,Extreme Pressure(EP)grease compatible with the operating environment.Plastic nuts can be used without lubrication and are popular for low load applications.
Other ready models are available
| Our Advantages |
| What’s the difference between lead screw designs? |
In power transmission applications,there are two main types of screw drives:screw drives that use a recirculating ball or roller for applications requiring high rigidity,excellent positioning accuracy,and high duty cycle ratio,and screw drives that rely on sliding contact for applications requiring corrosion resistance,self-locking operation,and customizable nut designs.
The second type - screw drivers with sliding contact between the nut and the screw shaft - is called lead screw,Acme screw or trapezoidal screw.Although these names are often used interchangeably,they actually refer to different screw geometrics and sizes.Here is a breakdown of the different types of sliding contact screws and what the terms "lead screw," "Acme screw," and "trapezoidal screw" really mean.
Lead Screws
The most commonly used of the three terms "lead screw" refers only to a powered screw that relies on the sliding motion between the nut and the screw shaft.There are two variations of the lead screw:the screw with square thread and trapezoidal thread.
Lead screw designs for power transmission use almost exclusively trapezoidal threads,which are easier to manufacture and have higher load capacity than screws with square threads.However,trapezoidal threads do have higher friction and are therefore less efficient than the square thread form.
The lead screw can have square or trapezoidal threads.
A power screw is a screw that transmits power by converting rotating motion into linear motion.The lead screw and ball screw are the types of power screws.
ACME Screws
As mentioned above,the lead screw for power transmission uses the trapezoidal thread form.But the trapezoidal screw design can be threaded at 29° or 30° angles,which means that the trapezoidal screw comes in two versions.
The first version(called the Acme screw)has a thread angle of 29° and is manufactured in inch size.Acme screw size is usually specified by the screw shaft diameter and the number of threads per inch or TPI.

Trapezoidal screw form with thread angle of 29°is called Acme screw,while trapezoidal screw form with thread angle of 30°is called trapezoidal screw.
Trapezoidal Screws
Trapezoidal screws also use the trapezoidal screw form of lead screw,but the trapezoidal screw thread angle is 30° and manufactured in metric size.The size of the trapezoidal screw is specified by the shaft diameter of the screw and the pitch of the screw thread.Trapezoidal screws are sometimes called "metric screw" or "metric Acme screw".

Acme screws and trapezoidal screws both use a trapezoidal thread form,but they have different thread angles.
Diameter 28mm Lead 8mm Tr28x8 Trapezoidal Lead Screw.The pitch of the Trapezoidal Lead Screw is 8mm.The lead screw is based on the sliding contact between the nut and the screw,which makes them less efficient than the ball screw.But in vertical applications,this inefficiency has an advantage:it prevents the load from driving backwards when the motor is powered off.This ability to maintain a vertical load without reverse driving is important in applications where the load needs to wait for the top of its stroke while other processes(such as pallet stacking and parts sorting)are performed.In order to use ball screws in these applications,a brake or hold device is required,and a lead screw can usually(depending on its efficiency)hold a vertical load without the use of a brake.
| Screw Material | ASTM1045,SUS303,SUS304,SS316,SS316L |
| Nut material | Brass,Tin bronze,Phosphor bronze,Aluminum bronze,POM,PEK,nylon,POK,Stainless steel,1045,Zinc alloy,Brass+Plastic,Aluminum alloy+Plastic,Brass+Steel,Self lubricating(No oil type) |
| Quality standard | ISO2901-4,DIN103 |
| Clearance | 7e,higher precision is available upon request |
| Product Parameter |
A broad range of lead nuts are available,other nut type or size can be made upon drawing
When selecting the right nut for an application,there are a few things to keep in mind.Bronze nuts provide superior service at high working loads.They should be well lubricated with a good quality,Extreme Pressure(EP)grease compatible with the operating environment.Plastic nuts can be used without lubrication and are popular for low load applications.
Other ready models are available
| Our Advantages |
| What’s the difference between lead screw designs? |
In power transmission applications,there are two main types of screw drives:screw drives that use a recirculating ball or roller for applications requiring high rigidity,excellent positioning accuracy,and high duty cycle ratio,and screw drives that rely on sliding contact for applications requiring corrosion resistance,self-locking operation,and customizable nut designs.
The second type - screw drivers with sliding contact between the nut and the screw shaft - is called lead screw,Acme screw or trapezoidal screw.Although these names are often used interchangeably,they actually refer to different screw geometrics and sizes.Here is a breakdown of the different types of sliding contact screws and what the terms "lead screw," "Acme screw," and "trapezoidal screw" really mean.
Lead Screws
The most commonly used of the three terms "lead screw" refers only to a powered screw that relies on the sliding motion between the nut and the screw shaft.There are two variations of the lead screw:the screw with square thread and trapezoidal thread.
Lead screw designs for power transmission use almost exclusively trapezoidal threads,which are easier to manufacture and have higher load capacity than screws with square threads.However,trapezoidal threads do have higher friction and are therefore less efficient than the square thread form.
The lead screw can have square or trapezoidal threads.
A power screw is a screw that transmits power by converting rotating motion into linear motion.The lead screw and ball screw are the types of power screws.
ACME Screws
As mentioned above,the lead screw for power transmission uses the trapezoidal thread form.But the trapezoidal screw design can be threaded at 29° or 30° angles,which means that the trapezoidal screw comes in two versions.
The first version(called the Acme screw)has a thread angle of 29° and is manufactured in inch size.Acme screw size is usually specified by the screw shaft diameter and the number of threads per inch or TPI.

Trapezoidal screw form with thread angle of 29°is called Acme screw,while trapezoidal screw form with thread angle of 30°is called trapezoidal screw.
Trapezoidal Screws
Trapezoidal screws also use the trapezoidal screw form of lead screw,but the trapezoidal screw thread angle is 30° and manufactured in metric size.The size of the trapezoidal screw is specified by the shaft diameter of the screw and the pitch of the screw thread.Trapezoidal screws are sometimes called "metric screw" or "metric Acme screw".

Acme screws and trapezoidal screws both use a trapezoidal thread form,but they have different thread angles.
ALM originally established in year of 2005.From a small factory,ALM nowadays has four production workshops for ball screw,lead screw,linear motor,linear actuator,linear guideways and related CNC machining parts for automation industry.Total areas over 7000 square meters,109 employees.Above 8 technical engineers are with over 20 years’ experience in linear motion filed.
ALM manufactures and supplies high quality linear motion components for customers in fields of aircraft, satellite,medical,Instrumentation,Robotics,Automobile,Electrical & Electronics,Textile,Medical,Food & Beverages,General Industry and so on.Customers cover more than 65 countries in Europe,North America,South Asia,Middle East,Africa,Latin America etc.With super quality and service,ALM has been widely recognized and highly valued by its high-end and picky customers, and thus remains at the top of their vendor lists.
ALM key production machines are imported,like high precision CNC grinding machine,3 axis,4 axis machining centre,internal and external grinding centre,CNC lathe.In addition,with advanced production management,ALM obtained the quality certificate ISO9001:2008 and IATF16949.And through our R&D department dedication over 16 years,we possess more than 26 national patents.
ALM's office
ALM's workshop
ALM product processing
ALM's warehouse
ALM product show
Customer Visit
ALM originally established in year of 2005.From a small factory,ALM nowadays has four production workshops for ball screw,lead screw,linear motor,linear actuator,linear guideways and related CNC machining parts for automation industry.Total areas over 7000 square meters,109 employees.Above 8 technical engineers are with over 20 years’ experience in linear motion filed.
ALM manufactures and supplies high quality linear motion components for customers in fields of aircraft, satellite,medical,Instrumentation,Robotics,Automobile,Electrical & Electronics,Textile,Medical,Food & Beverages,General Industry and so on.Customers cover more than 65 countries in Europe,North America,South Asia,Middle East,Africa,Latin America etc.With super quality and service,ALM has been widely recognized and highly valued by its high-end and picky customers, and thus remains at the top of their vendor lists.
ALM key production machines are imported,like high precision CNC grinding machine,3 axis,4 axis machining centre,internal and external grinding centre,CNC lathe.In addition,with advanced production management,ALM obtained the quality certificate ISO9001:2008 and IATF16949.And through our R&D department dedication over 16 years,we possess more than 26 national patents.
ALM's office
ALM's workshop
ALM product processing
ALM's warehouse
ALM product show
Customer Visit
Patent Certificate for invention and utility model
ISO certificate
Patent Certificate for invention and utility model
ISO certificate
1.Why can ALM be your better option for linear motion components?
With more than 16 years of industry experience,quality assurance,factory directly price.
2.What is your main products ?
Our Main products are consist of ball screw,linear guide,lead screw,linear module and linear motor.
3.How to Custom-made?
Step1:Send us your drawing for checking.We will check the production feasibility.Our specially trained engineers will help you find out the best solution based on rich projects experience.
Step2:We make our production drawing for your checking to avoid misunderstanding.And to ensure each dimensions comply with your requirements.
Step3:Prepare for sample
Step4:After samples approved on your prototype.Move to mass production
4.When can I get the quotation?
We usually quote within 24 hours after we get your inquiry.If you are very urgent to get the price,please call us or tell us in your email so that we will regard your inquiry priority.
1.Why can ALM be your better option for linear motion components?
With more than 16 years of industry experience,quality assurance,factory directly price.
2.What is your main products ?
Our Main products are consist of ball screw,linear guide,lead screw,linear module and linear motor.
3.How to Custom-made?
Step1:Send us your drawing for checking.We will check the production feasibility.Our specially trained engineers will help you find out the best solution based on rich projects experience.
Step2:We make our production drawing for your checking to avoid misunderstanding.And to ensure each dimensions comply with your requirements.
Step3:Prepare for sample
Step4:After samples approved on your prototype.Move to mass production
4.When can I get the quotation?
We usually quote within 24 hours after we get your inquiry.If you are very urgent to get the price,please call us or tell us in your email so that we will regard your inquiry priority.